animation-timing-function
Baseline
Widely available
This feature is well established and works across many devices and browser versions. It’s been available across browsers since September 2015.
Die animation-timing-function CSS Eigenschaft legt fest, wie eine Animation während der Dauer jedes Zyklus fortschreitet.
Es ist oft praktisch, die Kurzform-Eigenschaft animation zu verwenden, um alle Animationseigenschaften auf einmal festzulegen.
Probieren Sie es aus
animation-timing-function: linear;
animation-timing-function: ease-in-out;
animation-timing-function: steps(5, end);
animation-timing-function: cubic-bezier(0.1, -0.6, 0.2, 0);
<section class="flex-column" id="default-example">
<div class="animating" id="example-element"></div>
<button id="play-pause">Play</button>
</section>
#example-element {
animation-duration: 3s;
animation-iteration-count: infinite;
animation-name: slide;
animation-play-state: paused;
background-color: #1766aa;
border-radius: 50%;
border: 5px solid #333333;
color: white;
height: 150px;
margin: auto;
margin-left: 0;
width: 150px;
}
#example-element.running {
animation-play-state: running;
}
#play-pause {
font-size: 2rem;
}
@keyframes slide {
from {
background-color: orange;
color: black;
margin-left: 0;
}
to {
background-color: orange;
color: black;
margin-left: 80%;
}
}
const el = document.getElementById("example-element");
const button = document.getElementById("play-pause");
button.addEventListener("click", () => {
if (el.classList.contains("running")) {
el.classList.remove("running");
button.textContent = "Play";
} else {
el.classList.add("running");
button.textContent = "Pause";
}
});
Syntax
/* Keyword values */
animation-timing-function: ease;
animation-timing-function: ease-in;
animation-timing-function: ease-out;
animation-timing-function: ease-in-out;
animation-timing-function: linear;
animation-timing-function: step-start;
animation-timing-function: step-end;
/* cubic-bezier() function values */
animation-timing-function: cubic-bezier(0.42, 0, 1, 1); /* ease-in */
animation-timing-function: cubic-bezier(0, 0, 0.58, 1); /* ease-out */
animation-timing-function: cubic-bezier(0.42, 0, 0.58, 1); /* ease-in-out */
/* linear() function values */
animation-timing-function: linear(0, 0.25, 1);
animation-timing-function: linear(0 0%, 0.25 50%, 1 100%);
animation-timing-function: linear(0, 0.25 50% 75%, 1);
animation-timing-function: linear(0, 0.25 50%, 0.25 75%, 1);
/* steps() function values */
animation-timing-function: steps(4, jump-start);
animation-timing-function: steps(10, jump-end);
animation-timing-function: steps(20, jump-none);
animation-timing-function: steps(5, jump-both);
animation-timing-function: steps(6, start);
animation-timing-function: steps(8, end);
/* Multiple animations */
animation-timing-function: ease, step-start, cubic-bezier(0.1, 0.7, 1, 0.1);
/* Global values */
animation-timing-function: inherit;
animation-timing-function: initial;
animation-timing-function: revert;
animation-timing-function: revert-layer;
animation-timing-function: unset;
Werte
<easing-function>-
Die Easing-Funktion, die mit einer bestimmten Animation übereinstimmt, wie durch
animation-namebestimmt.Die nicht-schrittweisen Schlüsselwortwerte (
ease,linear,ease-in-out, etc.) repräsentieren jeweils kubische Bézierkurven mit festen Vierpunktwerten, während dercubic-bezier()Funktionswert ermöglicht, nicht vordefinierte Werte festzulegen. Diesteps()Easing-Funktion teilt die Eingabezeit in eine bestimmte Anzahl von gleich langen Intervallen. Ihre Parameter beinhalten eine Anzahl von Schritten und eine Schrittposition.linear-
Entspricht
cubic-bezier(0.0, 0.0, 1.0, 1.0), animiert mit gleichmäßiger Geschwindigkeit. ease-
Entspricht
cubic-bezier(0.25, 0.1, 0.25, 1.0), der Standardwert, erhöht die Geschwindigkeit in Richtung der Mitte der Animation und verlangsamt sich am Ende. ease-in-
Entspricht
cubic-bezier(0.42, 0, 1.0, 1.0), beginnt langsam, wobei die Geschwindigkeit des Übergangs der animierten Eigenschaft zunimmt, bis er abgeschlossen ist. ease-out-
Entspricht
cubic-bezier(0, 0, 0.58, 1.0), beginnt schnell, verlangsamt sich jedoch im Verlauf der Animation. ease-in-out-
Entspricht
cubic-bezier(0.42, 0, 0.58, 1.0), wobei die animierten Eigenschaften sich langsam verlagern, beschleunigen und dann erneut verlangsamen. cubic-bezier(<number [0,1]> , <number> , <number [0,1]> , <number>)-
Eine vom Autor definierte kubische Bézierkurve, bei der der erste und dritte Wert im Bereich von 0 bis 1 liegen muss.
linear(<number> <percentage>{1,2}, …)-
Die Funktion interpoliert linear zwischen den bereitgestellten Easing-Stoppunkten. Ein Stoppunkt ist ein Paar aus einem Ausgangsfortschritt und einem Eingabeprozentsatz. Der Eingabeprozentsatz ist optional und wird ermittelt, wenn er nicht angegeben ist. Wenn kein Eingabeprozentsatz angegeben wird, werden die ersten und letzten Stoppunkte auf
0%und100%gesetzt, und die mittleren Stoppunkte erhalten Prozentsätze, die durch lineare Interpolation zwischen den nächstgelegenen vorherigen und nächsten Punkten mit Prozentsatzwerten ermittelt werden. steps(<integer>, <step-position>)-
Zeigt eine Animationsiteration entlang n Stopps entlang des Übergangs, wobei jeder Stopp für gleiche Zeitdauern angezeigt wird. Wenn n zum Beispiel 5 beträgt, gibt es 5 Schritte. Ob die Animation vorübergehend bei 0%, 20%, 40%, 60% und 80%, bei 20%, 40%, 60%, 80% und 100% hält, oder 5 Stopps zwischen 0% und 100% macht, oder 5 Stopps einschließlich der Marken 0% und 100% macht (bei 0%, 25%, 50%, 75% und 100%), hängt davon ab, welcher der folgenden Schrittpositionen verwendet wird:
jump-start-
Bezeichnet eine linksstetige Funktion, so dass der erste Sprung zu Beginn der Animation erfolgt.
jump-end-
Bezeichnet eine rechtsstetige Funktion, so dass der letzte Sprung erfolgt, wenn die Animation endet. Dies ist der Standard.
jump-none-
Es gibt keinen Sprung an beiden Enden, was effektiv einen Schritt während der Interpolationsiteration entfernt. Stattdessen hält es sowohl an der Marke 0% als auch 100% an, jeweils für 1/n der Dauer.
jump-both-
Beinhaltet Pausen sowohl an den Marken 0% als auch 100%, was effektiv einen Schritt während der Animation hinzufügt.
start-
Dasselbe wie
jump-start. end-
Dasselbe wie
jump-end.
step-start-
Entspricht
steps(1, jump-start) step-end-
Entspricht
steps(1, jump-end)
Hinweis:
Wenn Sie mehrere durch Kommas getrennte Werte bei einer animation-* Eigenschaft angeben, werden diese in der Reihenfolge angewendet, in der die animation-names erscheinen. Für Situationen, in denen die Anzahl der Animationen und die Werte der animation-* Eigenschaften nicht übereinstimmen, siehe Festlegung mehrerer Animations-Werteigenschaften.
Hinweis:
animation-timing-function hat denselben Effekt bei der Erstellung von CSS-Scroll-basierten Animationen wie bei regulären zeitbasierten Animationen.
Beschreibung
Easing-Funktionen können auf einzelne Keyframes in einer @keyframes Regel angewendet werden. Wenn kein animation-timing-function auf einem Keyframe angegeben ist, wird der entsprechende Wert von animation-timing-function des Elements, auf das die Animation angewendet wird, für dieses Keyframe verwendet.
Innerhalb eines Keyframes ist animation-timing-function ein auf At-Regeln spezifischer Deskriptor und nicht die Eigenschaft im gleichen Namen. Das Timing wird nicht animiert. Stattdessen wird eine Easing-Funktion eines Keyframes auf einer Eigenschaft-für-Eigenschaft-Basis vom Keyframe angewendet, auf dem sie angegeben ist, bis zum nächsten Keyframe, der diese Eigenschaft angibt, oder bis zum Ende der Animation, falls kein nachfolgendes Keyframe diese Eigenschaft angibt. Daher wird eine animation-timing-function, die auf dem 100% oder to Keyframe angegeben ist, niemals verwendet.
Formale Definition
| Anfangswert | ease |
|---|---|
| Anwendbar auf | alle Elemente, ::before und ::after Pseudoelemente |
| Vererbt | Nein |
| Berechneter Wert | wie angegeben |
| Animationstyp | Not animatable |
Formale Syntax
animation-timing-function =
<easing-function>#
<easing-function> =
<linear-easing-function> |
<cubic-bezier-easing-function> |
<step-easing-function>
<linear-easing-function> =
linear |
<linear()>
<cubic-bezier-easing-function> =
ease |
ease-in |
ease-out |
ease-in-out |
<cubic-bezier()>
<step-easing-function> =
step-start |
step-end |
<steps()>
<linear()> =
linear( [ <number> && <percentage>{0,2} ]# )
<cubic-bezier()> =
cubic-bezier( [ <number [0,1]> , <number> ]#{2} )
<steps()> =
steps( <integer> , <step-position>? )
<step-position> =
jump-start |
jump-end |
jump-none |
jump-both |
start |
end
Beispiele
Alle Beispiele in diesem Abschnitt animieren die Eigenschaften width und background-color mehrerer <div> Elemente mit verschiedenen animation-timing-function Werten. Die Breite wird von 0 bis 100% animiert und die Hintergrundfarbe wird von Lime zu Magenta animiert.
Lineare Funktionsbeispiele
Das Beispiel zeigt die Effekte verschiedener linear() Easing-Funktionswerte.
Das folgende Bild zeigt Diagramme aller linear() Funktionswerte, die in diesem Beispiel verwendet werden. Die Eingabefortschrittszeit ist auf der x-Achse und der Ausgabefortschritt auf der y-Achse abgebildet. Gemäß der Syntax reicht der Eingabefortschritt von 0 bis 100%, und die Ausgabe reicht von 0 bis 1.

Beachten Sie, dass sich die Ausgabe vorwärts oder rückwärts bewegen kann.
Kubische-Bézier-Beispiele
Das Beispiel zeigt die Effekte verschiedener Bézierkurven-Easing-Funktionen.
Das folgende Bild zeigt Diagramme aller kubischen Bézier-Funktionswerte, die in diesem Beispiel verwendet werden. Der Eingabefortschritt (Zeit) reicht von 0 bis 1 und der Ausgabefortschritt reicht von 0 bis 1.

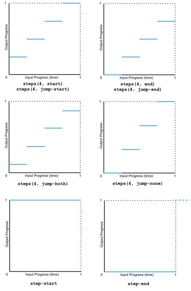
Stufenbeispiele
Dieses Beispiel zeigt die Effekte mehrerer Stufen-Easing-Funktionswerte.
Das folgende Bild zeigt Diagramme aller step() Funktionswerte, die in diesem Beispiel verwendet werden. Der Eingabefortschritt (Zeit) und der Ausgabefortschritt reichen von 0 bis 1.

Spezifikationen
| Specification |
|---|
| CSS Animations Level 1 # animation-timing-function |
Browser-Kompatibilität
Enable JavaScript to view this browser compatibility table.
Siehe auch
- Verwendung von CSS-Animationen
<easing-function>- CSS-Easing-Funktionen Modul
- JavaScript
AnimationEventAPI - Kubische Bézier-Generator-Tool
- Weitere verwandte Animationseigenschaften:
animation,animation-composition,animation-delay,animation-direction,animation-duration,animation-fill-mode,animation-iteration-count,animation-name,animation-play-state,animation-timeline